Pengertian Medan Listrik Adalah Rumus Lengkap Contoh Soal. Apa itu medan listrik? medan listrik adalah efek yang ditimbulkan oleh adanya muatan listrik. Agar lebih jelas simaklah penjelasan kami mengenai medan listrik mulai dari Pengertian, Kuat Medan Listrik, Kuat Medan Listrik Oleh Beberapa Muatan Dan Contoh soal Medan Listrik Beserta Penyelesaiannya, Berikut ini penjelasannya.

Pengertian Medan Listrik
Medan listrik, medan listrik adalah efek yang ditimbulkan oleh adanya muatan listrik, seperti elektron, ion atau proton dalam ruangan yang ada di sekitarnya. Medan listrik memiliki satuan N/C (dibaca Newton/coulomb).
Medan listrik sering kali dipelajari dalam bidang fisika dan bidang terkait dan secara tidak langsung juga di bidang elektronika yang telah memanfaatkan medan listrik ini dalam kawat konduktor (kabel).
Sedangkan pengertian yang lain, medan listrik adalah ruangan di sekitar benda bermuatan listrik, di mana jika suatu benda bermuatan listrik berada di dalam ruangan tersebut akan mendapat gaya listrik (gaya Coulomb).
Medan listrik ini juga termasuk medan vektor, sehingga untuk menyatakan arah medan listrik dinyatakan sama dengan arah gaya yang dialami oleh muatan positif jika berada dalam sembarang tempat di dalam medan tersebut.
Adapun arah medan listrik yang ditimbulkan benda bermuatan positif dinyatakan keluar dari benda, sedangkan arah medan listrik yang ditimbulkan benda bermuatan negatif dinyatakan masuk ke benda.
Untuk menggambarkan medan listrik digunakan garis-garis gaya listrik, yaitu garis lengkung yang dibayangkan sebagai intasan yang ditempuh oleh muatan positif yang bergerak dalam medan listrik Dan Garis gaya listrik tidak mungkin berpotongan, Karena garis gaya listrik merupakan garis khayal yang berawal dari benda bermuatan positif dan akan berakhir di benda yang bermuatan negatif. Gambar berikut ini menggambarkan garis-garis gaya listrik di sekitar benda bermuatan listrik.

Kuat Medan Listrik
Kuat medan listrik yang berada di suatu titik dalam medan listrik didefinisikan sebagai gaya per satuan muatan listrik di titik tersebut. Kuat medan listrik dinyatakan dengan lambang E. Kuat medan listrik ini karena dipengaruhi oleh besarnya muatan sumber dan jarak benda (muatan yang diuji).
Lalu, Kuat medan listrik di rumuskan sebagai besarnya gaya Coulomb untuk setiap satuan muatan. Secara matematis rumus medan listrik yaitu:

Keterangan:
E = kuat medan listrik (N/C)
F = gaya coulomb (F)
q = muatan uji (C)
Dari arah kuat medan listrik yang dialami muatan uji bergantung pada jenis muatan uji dan muatan sumber. Jika positif dan negatif bertemu maka akan tarik menarik namun jika jenis muatannya sama akan tolak menolak. Berikut ilustrasi selengkapnya:

Rumus Medan Listrik
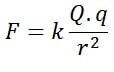
Apabila Diketahui rumus gaya coulomb antara muatan sumber Q dengan muatan uji q adalah:

Maka rumus medan listrik menjadi:

Keterangan
E = kuat mendan litrik (N/C)
Q = muatan sumber (C)
r = . Jarak muatan uji dengan muatan sumber (m)
Kuat Medan Listrik Oleh Beberapa Muatan
Apabila suatu muatan uji ternyata dipengaruhi oleh beberapa muatan listrik, bagaimana cara menghitung medan listrik total yang dialami oleh muatan uji tersebut? yakni ada dua kemungkinan, muatan yang mempengaruhi muatan uji bisa segaris atau membentuk sudut (tidak segaris).
-
Resultan Medan Litrik yang Segaris
Apabila Titik B berada di antara muatan Q1 dan Q2 yang terletak segaris. Jadi ada dua medan listik yang timbul masing-masing oleh Q1 dan Q2. E1 merupakan kuat medan listrik karena pengaruh muatan Q1 dirumuskan:

E2 merupakan medan listrik karena pengaruh muatan Q2, dirumuskan:

Besar kuat medan listrik yang dialami oleh B adalah merupakan resultan vector dari E1 dan E2, dirumuskan:

Hal yang harus diperhatikan dalam menggunakan rumus diatas yaitu jenis muatan sumber dan muatan uji. Hal tersebut dapat menentukan (+) dan (–) dari medan listrik yang dialami.
-
Resultan Medan Listrik yang Tidak Segaris

Dari gambar di atas, titik A berada dalam pengaruh medan listrik dari muatan Q1 dan Q2, sehingga antara titik Q1, A, dan Q2 membentuk sebuah sudut apit dengan nilai tertentu. Kemudian Total kuat medan listrik yang dialami oleh titik A adalah resultan dari vector E1 dan E2. Untuk menentukan besarnya digunakan rumus resultan vektor.
Contoh Soal Medan Listrik dan Penyelesaiannya
1. Jika Sebuah muatan uji +25.105 C diletakkan dalam sbuah medan listrik. Apabila gaya yang bekerja pada muatan uji tersebut adalah 0,5 N. Berapa besar medan listrik pada muatan uji tersebut?
Pembahasan:
Diketahui:
F= 0,5 N
q = +25. 105 C
Ditanya: E ….?
Jawab :
E = F/q
E = 0,5/25. 105 C
E = 5. 104 / 25 = 2000 N/C
2. Apabila dua buah titik berjarak 4 meter bermuatan masing-masing +q1 dan +q2. Berapakah perbandingan antara q1 dan q2 jika medan listrik pada titik yang berjarak 1 meter dari q1 bernilai nol.
Pembahasan:

Karena titik A memiliki medan listrik sama dengan nol maka E1-E2 = 0, E1 = E2. Maka persamaan yang diperoleh yaitu:
Demikianlah Pembahasan kami mengenai materi Medan Listrik, Semoga Bermanfaat..
Terima kasih telah mengunjungi Web kami…

